Skip to Content

BTC, AM (CAS 176767-94-5) - 1 mg

https://www.gentaur.be/web/image/product.template/8039/image_1920?unique=325b45d
(0 review)

Terms and Conditions
30-day money-back guarantee
Shipping: 2-3 Business Days of Stock Products

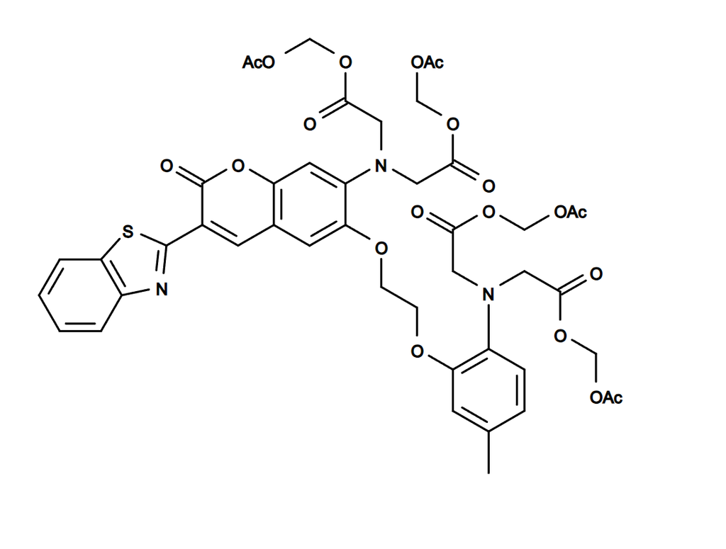
IUPAC name: Acetyloxymethyl 2-[N-[2-(acetyloxymethoxy)-2-oxoethyl]-2-[2-[3-(1,3-benzothiazol-2-yl)-7-[bis[2-(acetyloxymethoxy)-2-oxoethyl]amino] -2-oxochromen-6-yl]oxyethoxy]-4-methylanilino]acetate

CAS #: 176767-94-5


Molecular weight: 979.92


Dissociation constant (Kd, nM): 7000

Description: This cell-permeant coumarin Ca2+ indicator BTC, AM exhibits a shift in excitation maximum from about 480 nm to 400 nm upon binding Ca2+, enabling ratiometric calcium measurements. Due to its high selectivity and low affinity for Ca2+ (Kd ~7 uM) BTC is often used for the quantitation of high intracellular Ca2+levels. In addition, BTC, AM has also been used for monitoring potassium channel since thallium ion enhances the fluorescence of BTC.